供稿:数学与科学教育学院 时间:2025-11-05
2025年11月1日,数学与科学教育学院“科技嘉年华”团队19名青年教师面向通州四中1200名小学和初中学生举办了丰富多彩、参与度十足的科技节活动。数科学院党总支书记王钦忠(在此次科技节上被聘为通州四中科学副校长)、通州四中党总支书记张仕东和校长苏京等出席了科技节。


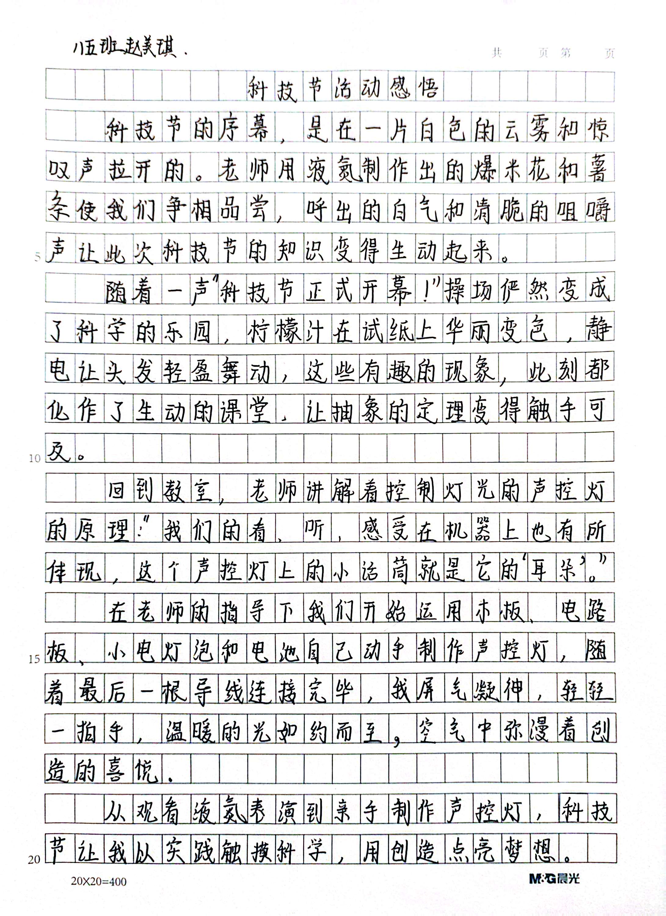
本次科技节活动是数科学院“科技嘉年华”团队基于丰富的科技实践活动经验和课程资源,为通州四中学生量身打造的一场科技盛宴。全部内容由三部分19个科技活动组成,其中,第一部分是开幕式开场秀活动,由沈雷雷老师现场展示静电飞花、千人阵、粉尘爆炸和马德堡半球拔河四个活动;第二部分是面向初中和小学生的10个室内活动,包括遥感我的学校(尹卫霞)、微观世界的刀光剑影(徐扬)、制作杆秤(丁友福)、救生艇可以多救些人吗(马丽莹)、声控灯(孙章华)、楼梯电路(王晨光)、3D电影(冯爽)、光合作用桌游(勾润宇)、外形最佳的鸟蛋(徐峥)、四元正方形(曹辰);第三部分是面向初中生的9个室外活动,包括茶水变墨水(王钦忠)、自制吸管乐器(赵继辰)、气体做功实验(公维余)、心肺复苏急救(靳飞)、粉尘爆炸(李祥园)、色素的pH12色阶之旅(李情义)、记忆合金(张晔)、古法摄影(翟献帅)、望远镜和潜望镜(沈雷雷)。
开场秀活动现场氛围热烈,粉尘爆炸燃起一团大火球、静电让学生头上纸屑飞舞、莱顿瓶让10余位学生手拉手切身感受静电威力、20余位学生拼尽全力没有拉开马德堡半球……学生们的好奇心被一个个科技感十足的实验活动激发起来了,他们群情激昂、跃跃欲试,迫不及待的拥挤到主席台前,想一探究竟,想亲身参与到活动中来……




操场上,近20个活动摊位上围满了兴奋的学生,他们一边认真听老师讲解,一边观看宣传海报,一边在学生助教的指导下动手操作;参与完一个,再去参加另一个,诺大的操场上充满着孩子们的欢声笑语。随同的家长也忍不住参与到活动中来,也纷纷掏出手机为自己孩子留下精彩的活动瞬间……









教室里,授课教师正在有条不紊的组织学生开展实践活动,详细的原理介绍,精彩的活动指导,让孩子过足了科技创新的瘾。老师们的深度讲解和耐心实践指导让后排家长纷纷叫好,认为科技活动让孩子们在知识、思维与实践等方面都得到了很好发展。










学生感言




院本部:西城区德胜门外黄寺大街什坊街2号 | 电话:82089116
©2024北京教育学院 版权所有 | BEIJING INSTITUTE OF EDUCATION